• Предмет: Математика
  • Автор: Аноним
  • Вопрос задан 3 года назад

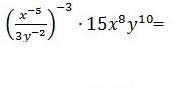
Упростить выражение ​

Приложения:

Аноним: P.S. я уточнил

Ответы

Ответ дал: aidonnym05
1

....................

Приложения:
Вас заинтересует