Ответы
Ответ дал:
2
Ответ:
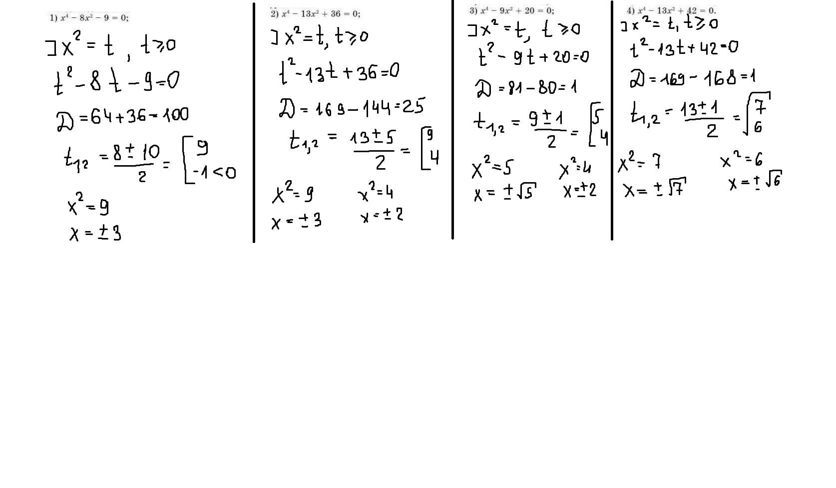
34.1 решила полностью
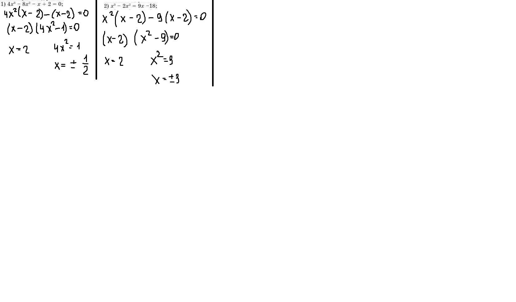
34.2 два последних не могу решить
Объяснение:
Приложения:


Вас заинтересует
2 года назад
2 года назад
2 года назад
2 года назад
7 лет назад
7 лет назад