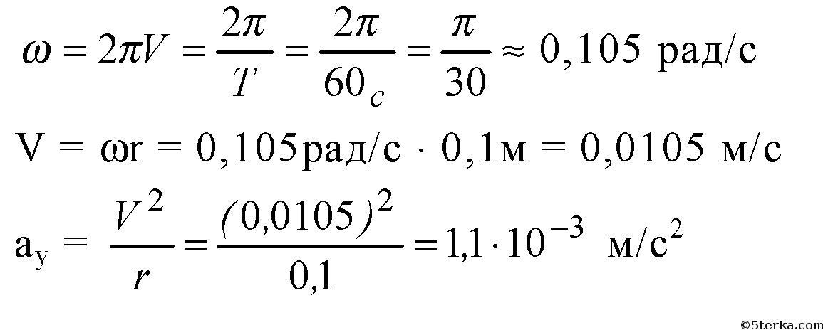
Очень СРОЧНОСекундная стрелка часов делает полный оборот за 1 мин. Радиус стрелки равен 10см. Какова угловая и линейная скорости острия стрелки.
Ответы
Ответ дал:
1
Ответ:
вроде правильно.
Объяснение:
Приложения:

Вас заинтересует
2 года назад
2 года назад
7 лет назад
7 лет назад
9 лет назад