• Предмет: Алгебра
  • Автор: ДьЯвОлИцА222
  • Вопрос задан 3 года назад

ИНТЕГРАЛ!!!!!!!!!!!!!!!!!!!!!!!!!!

Приложения:

Ответы

Ответ дал: Miroslava227
1

Ответ:

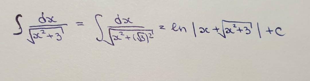
это табличный интеграл

на фото

Приложения:
Вас заинтересует