• Предмет: Алгебра
  • Автор: ilmiradosymbetova
  • Вопрос задан 3 года назад

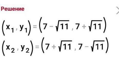
Х+у=14
Х²+у²=120
Система
Помагитее

Ответы

Ответ дал: guslirusika
0

Ответ:

я тут вообщем решил вроде правильно

Приложения:
Вас заинтересует