• Предмет: Алгебра
  • Автор: igrogames2005
  • Вопрос задан 3 года назад

помогите с алгеброй 9 класс. очень срочно!!!!​

Приложения:

Ответы

Ответ дал: Аноним
0

Ответ:

Объяснение:

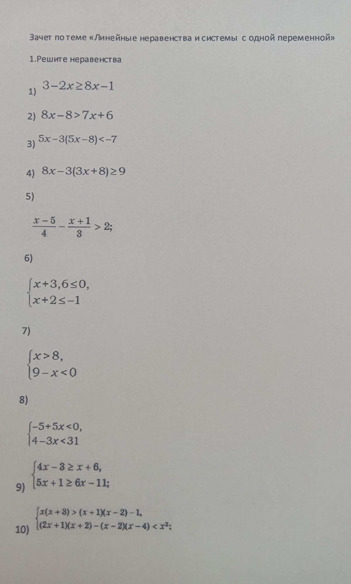
1) Ответ: х⊂(-∞; 0,4].

5)

Ответ:

х∈(-∞; -43).

6)

ответ:

х∈(-∞;-3,6].

9)

ответ:

х∈[3;12]. точки закрашены.


igrogames2005: а почему нет ответа на некоторые задания?
Аноним: а надо? Напиши, когда надо решить? Просто не было времени.
igrogames2005: если можно то сейчас или при возможности
Аноним: решаю
Аноним: надо решение или только отве?
Аноним: не могу написать решение, сайт не дает возможность дописать.
Аноним: Заново напиши те примеры, которые я не решила.
igrogames2005: с решением, и я не могу заново написать так как это фотография
Аноним: ну, может быть ,кто-то решит тебе это задание. Если нет, заново фотографируй и напиши мне.
igrogames2005: я задал новый вопрос посмотри у меня на странице?
Вас заинтересует