• Предмет: Алгебра
  • Автор: gulbahor213
  • Вопрос задан 3 года назад

Пожалуста помогите решить
(даю 32балла)​

Приложения:

Ответы

Ответ дал: Ляляляля109
1

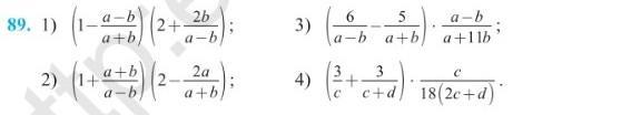
89.

1)

(1-\frac{a-b}{a+b} )(2+\frac{2b}{a-b} )=\frac{a+b-a+b}{a+b} *\frac{2a-2b+2b}{a-b}=\frac{2b}{a+b}  *\frac{2a}{a-b} =\frac{4ab}{a^{2}-b^{2}}

2)

(1+\frac{a+b}{a-b} )(2-\frac{2a}{a+b} )=\frac{a-b+a+b}{a-b} *\frac{2a+2b-2a}{a+b} =\frac{2a}{a-b} *\frac{2b}{a+b} =\frac{4ab}{a^{2}-b^{2}}

3)

(\frac{6}{a-b} -\frac{5}{a+b} )*\frac{a-b}{a+11b} =(\frac{6a+6b}{(a-b)(a+b)} -\frac{5a-5b}{(a-b)(a+b)} )*\frac{a-b}{a+11b} =\frac{6a+6b-5a+5b}{(a-b)(a+b)}*\frac{a-b}{a+11b} =\\\\= \frac{a+11b}{(a-b)(a+b)} *\frac{a-b}{a+11b} =\frac{1}{a+b}

4)

(\frac{3}{c} +\frac{3}{c+d} )*\frac{c}{18(2c+d)} =\frac{3c+3d+3c}{c(c+d)} *\frac{c}{18(2c+d)} =\frac{6c+3d}{c(c+d)} *\frac{c}{18(2c+d)}=\frac{3(2c+d)}{c(c+d)} *\frac{c}{18(2c+d)}=\\\\=\frac{1}{6c+6d}


gulbahor213: Большое спасибо
gulbahor213: Можеш пожалуста с последними помочь пожалуста
Вас заинтересует