• Предмет: Математика
  • Автор: i2v0a0n01
  • Вопрос задан 3 года назад

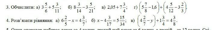
допоможіть 3 і 4 будь ласка ​

Приложения:

Ответы

Ответ дал: nika26vika26
1

Ответ:

Ответ на фото

Пошаговое объяснение:

Приложения:

i2v0a0n01: дякую
Вас заинтересует