• Предмет: Алгебра
  • Автор: zininalaska
  • Вопрос задан 3 года назад

Помогите пожалуйста до 8 часов вечера надо сделать)!!!

Приложения:

Ответы

Ответ дал: katy770
1

Ответ:

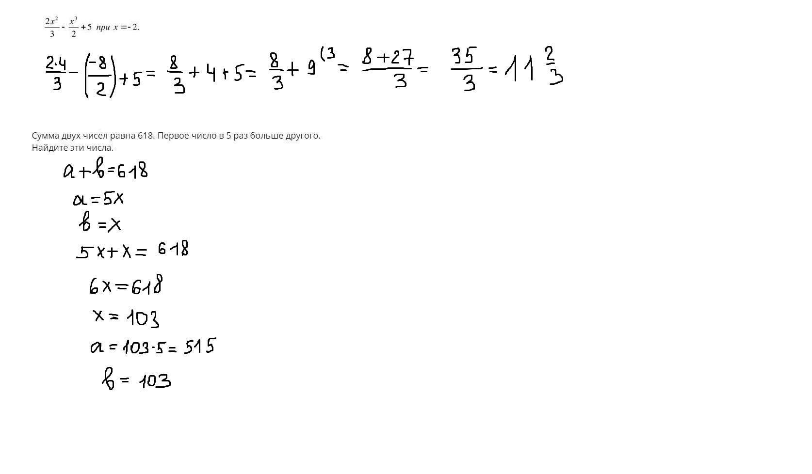
Привет)

Решение во вложении, будут вопросы, задавай)

Если не сложно, отметь пожалуйста как лучший ответ))

Объяснение:

Приложения:
Вас заинтересует