• Предмет: Математика
  • Автор: Нурик203
  • Вопрос задан 3 года назад

Помгитеее, прошуу, как это решать

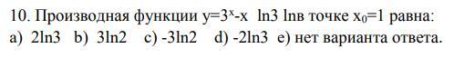
Приложения:

Ответы

Ответ дал: rumanezzo
0

Пошаговое объяснение:

Производная:

 {3}^{x} ln3 - ln3

При х=1 вообще-то будет 0

Вас заинтересует