Ответы
Ответ дал:
1
Объяснение:
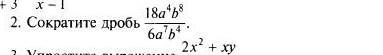
18а⁴б⁸
_____
6а⁷б⁴
Сокращаем 18 и 6 на 6
3а⁴б⁸
____
а⁷б⁴
8-4=4
3а⁴б⁴
____
а⁷
3а⁴б⁴
_____
а⁷
7-4=3
3б⁴
___
а3
Ответ дал:
0
Ответ:
Как то так.
Приложения:

Вас заинтересует
2 года назад
2 года назад
2 года назад
7 лет назад
7 лет назад
9 лет назад