Ответы
Ответ дал:
1
Ответ:
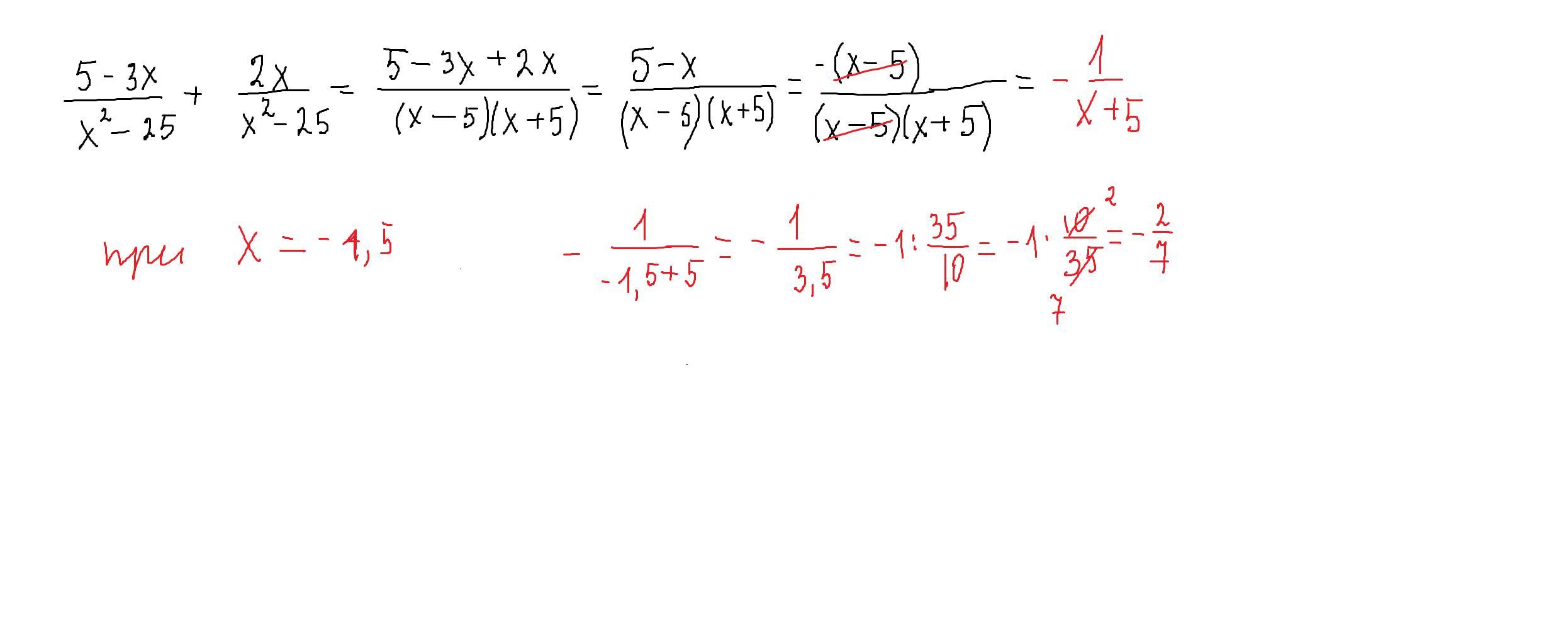
-2\7
Объяснение:
решение внизу
Приложения:

Ответ дал:
1
Ответ:
вот, надеюсь понятно, тут все подробно
Приложения:

Вас заинтересует
2 года назад
2 года назад
2 года назад
2 года назад
7 лет назад
7 лет назад
9 лет назад