Ответы
Ответ дал:
1
Ответ:
Пошаговое объяснение:
Решено !
Приложения:

Ответ дал:
1
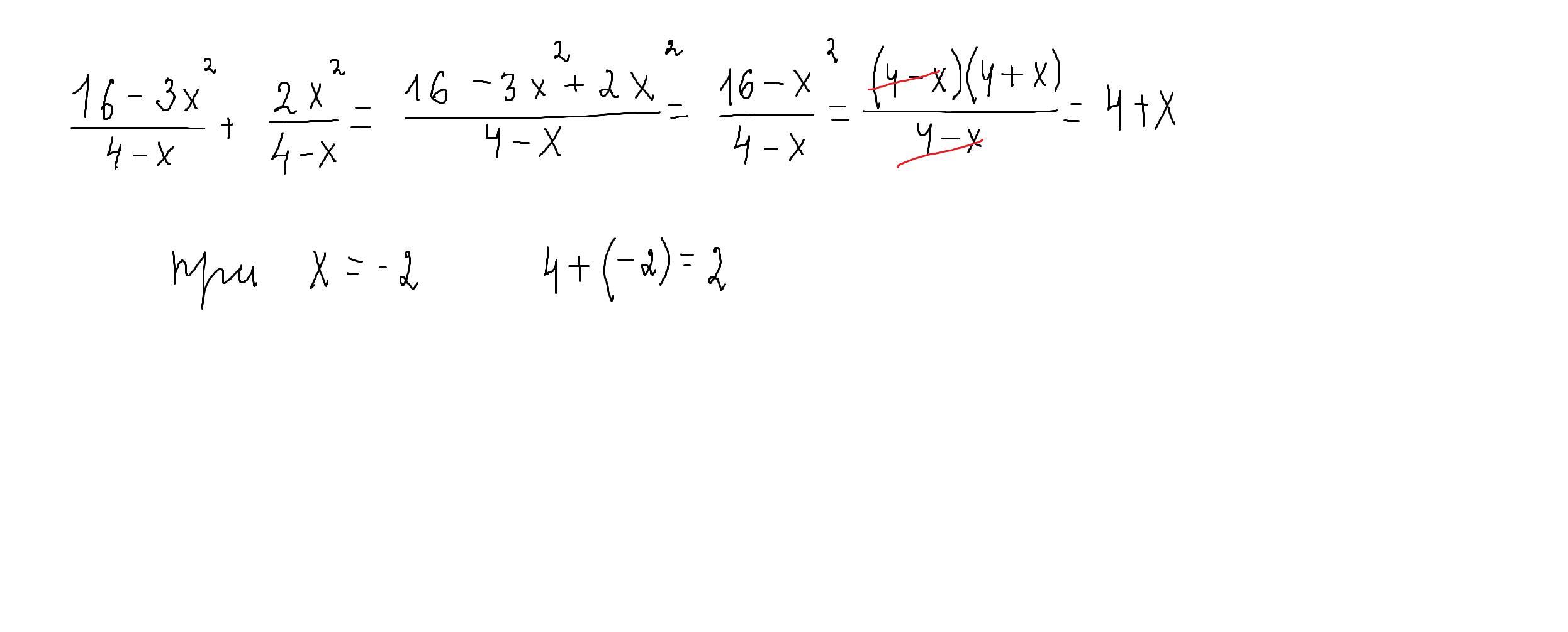
Ответ:
2
Пошаговое объяснение:
решение внизу
Приложения:

Вас заинтересует
2 года назад
2 года назад
2 года назад
2 года назад
7 лет назад
9 лет назад