• Предмет: Алгебра
  • Автор: Аноним
  • Вопрос задан 3 года назад

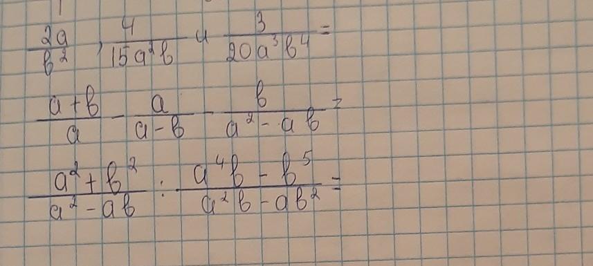
Помогите пожалуйста. Прошу прощение что беспокю вас ночью. Но это мое будущее не могу никак решить эти примеры по алгебре, у меня не много баллов, хотя их мало но я буду очень сильно благодарна. Если вы напишите в тетради мне все понятно с дополнительными множетелями это очень нужноо. Меня мама бьёт за то что я не могу решать примеры потомучто она учительница, если не могу решить эти легкие отлично она меня еще побьет Прошу я не вру клянусь помогите. ((((Первый пример привести дроби к общему знаменателю.)))))​

Приложения:

Ответы

Ответ дал: kuznecovasofak9
0

Ответ:

Скажи номер задания и класс


Аноним: мама ненавидит когда я пишу без дополнительных множетелей
Аноним: мне очень нужно решить пример 1 а если вам не сложно решите все
Аноним: пжпж
Аноним: времени почти не осталось
Аноним: пожалуйста поторопитесь
kuznecovasofak9: щас
Аноним: спасибо огромное
Аноним: не забудьте дополнительные множетели
Аноним: без этого она узнает что я взяла с интернета
Аноним: отмечу как лучший ответ
Ответ дал: zinochkaloveyou
2

Ответ:

не уверена, что правильно

Приложения:

Аноним: но спасибо
Вас заинтересует