плиз помогите пожалуйста
Приложения:

futbolcr682:
serovaksusa1 пожалуйста помогите у вас главный мозг
Ответы
Ответ дал:
0
Ответ:
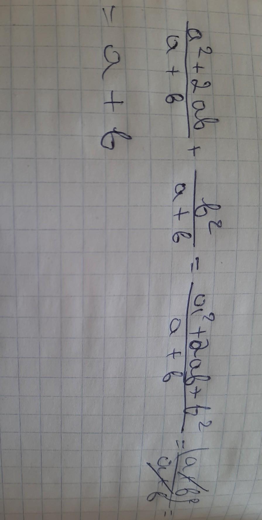
ОТВЕТ: а+b
=(a+b)²/a+b=a+b
Ответ дал:
0
Ответ:
вот короче лови
тупые 20 символов мешаете
Приложения:

Вас заинтересует
2 года назад
2 года назад
2 года назад
2 года назад
7 лет назад
7 лет назад
9 лет назад
9 лет назад