• Предмет: Алгебра
  • Автор: dzumaevadilnora
  • Вопрос задан 3 года назад

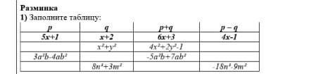
1) Заполните таблату.
срочно помогите пожалуйста​

Приложения:

Ответы

Ответ дал: asem020608
0

Ответ:

  1. p=3x2+3y2-1 p-q=2x2+4y2-1
  2. q= -ab×(8a-3b) p-q=ab×(11a-7b)
  3. p= -2(5n3+3m2) p+q= -2n3-3m2
Вас заинтересует