даны последовательные чисоа арифмеимческой прогрессии: n+3, n+9, n+15, ... Найдите третий член данной прогрпссии, если одиннадцатый равен 65
Ответы
Ответ дал:
1
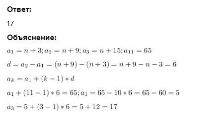
Ответ:
17
Объяснение:
Приложения:

MiyaGi0826:
Огромное Вам спасибо!
Вас заинтересует
2 года назад
2 года назад
2 года назад
2 года назад
7 лет назад
7 лет назад
9 лет назад
9 лет назад