Ответы
Ответ дал:
0
Ответ:
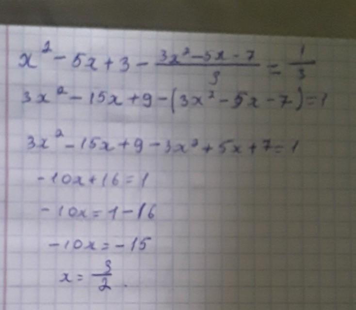
корочи потратила на это не менее 10 минут
пж подписывайся на меня
Приложения:

Вас заинтересует
2 года назад
2 года назад
7 лет назад
9 лет назад