• Предмет: Алгебра
  • Автор: Аноним
  • Вопрос задан 3 года назад

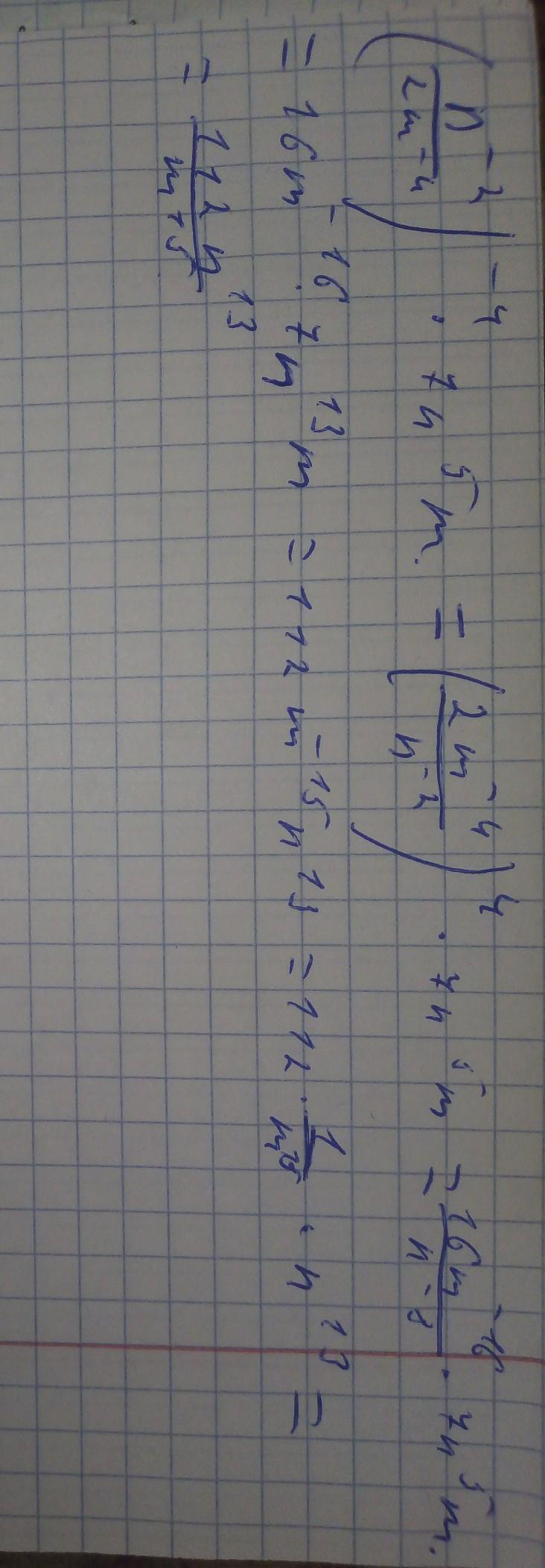
Упрастите выражение​

Приложения:

Ответы

Ответ дал: flawerkun
0

Объяснение:

Вот ответ почерк не красивый наверно поймёте

Приложения:
Вас заинтересует