• Предмет: Алгебра
  • Автор: nazgulm2803
  • Вопрос задан 3 года назад

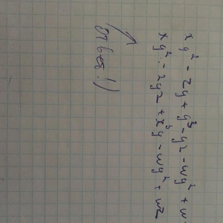
Представь многочлены ху^2 -zy+y^3-yz-wy^2+wz

Ответы

Ответ дал: sanek1499noname
1
Как понял так и написал
Ответ снизу
Правельно решил)
Приложения:

aygerim090520: ВОТ ПРАВИЛЬНЫЙ ОТВЕТ (y²–z)(x+y–w)
mordovskaya2021: спасибо )))
Noname1504: спасибо большое
Вас заинтересует