• Предмет: Алгебра
  • Автор: lyazzkon96
  • Вопрос задан 3 года назад

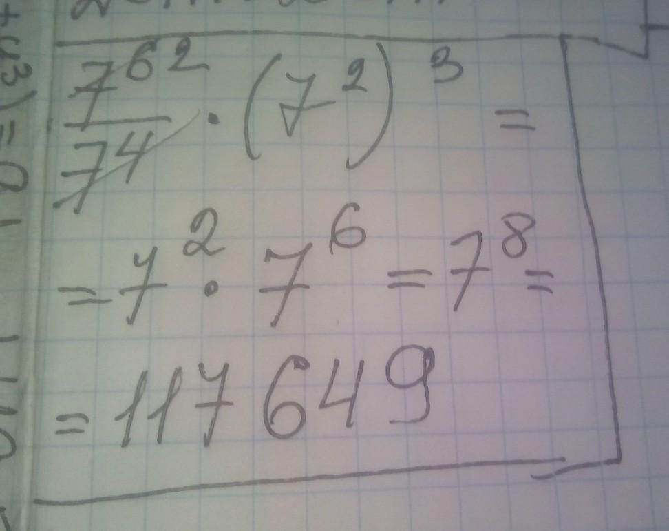
Упростите вырадения:7⁶/7⁴×(7²)=?​

Приложения:

lyazzkon96: ответ:=7³×7⁶=7⁹

Ответы

Ответ дал: matilda17562
1

Ответ:

7^8.

Объяснение:

7^6/7^4 •(7^2)^3 = 7^(6-4) • 7^(2•3) = 7^2 • 7^6 = 7^(2+6) = 7^8.

Ответ дал: manyny06
1

Ответ:

решение на фотографии

Приложения:
Вас заинтересует