Ответы
Ответ дал:
0
Ответ:
Ответ дал:
3
Ответ:
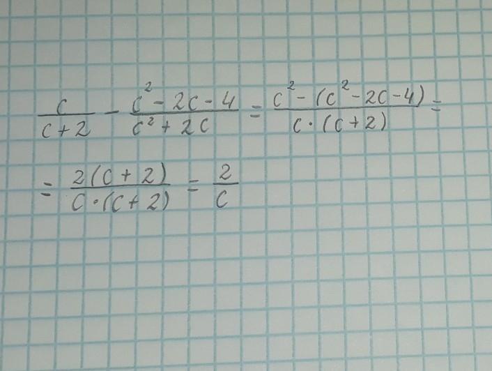
Будет 2\с. Ответ на фотке
Приложения:

Вас заинтересует
2 года назад
2 года назад
2 года назад
2 года назад
7 лет назад
7 лет назад