• Предмет: Алгебра
  • Автор: cookieais9701
  • Вопрос задан 3 года назад

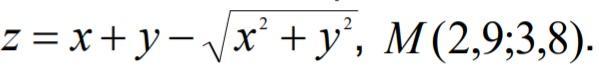
Вычислить приближенно с помощью
дифференциала:

Приложения:

Ответы

Ответ дал: igorShap
1

Ответ:

1.92

Объяснение:

z(x_0+\Delta x;y_0+\Delta y)\approx z(x_0;y_0)+z'_x(x_0;y_0)\cdot \Delta x+z'_y(x_0;y_0)\cdot \Delta y\\ z'_x=1-\dfrac{x}{\sqrt{x^2+y^2}},\;\;\;z'_y=1-\dfrac{y}{\sqrt{x^2+y^2}}\\ z(2.9;3.8)=z(3-0.1;4-0.2)\approx 3+4-\sqrt{3^2+4^2}+(1-\dfrac{3}{\sqrt{3^2+4^2}})(-0.1)+(1-\dfrac{4}{\sqrt{3^2+4^2}})(-0.2)=7-5-0.1+\dfrac{0.3}{5}-0.2+\dfrac{0.8}{5}=2-0.3+0.22=1.92


cookieais9701: Спасибо)
Вас заинтересует