Помогите срочно пожалуйста !!!
Приложения:

Аноним:
а) х=18*5/6=15.
Ответы
Ответ дал:
1
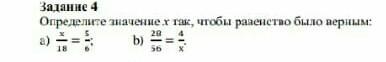
a)
x/18=5/6
x*6=18*5
6x=90
x=15
b)
28/56=4/x
28x=224
x=8
x/18=5/6
x*6=18*5
6x=90
x=15
b)
28/56=4/x
28x=224
x=8
Вас заинтересует
2 года назад
2 года назад
7 лет назад
9 лет назад