• Предмет: Алгебра
  • Автор: nas2020rus
  • Вопрос задан 3 года назад


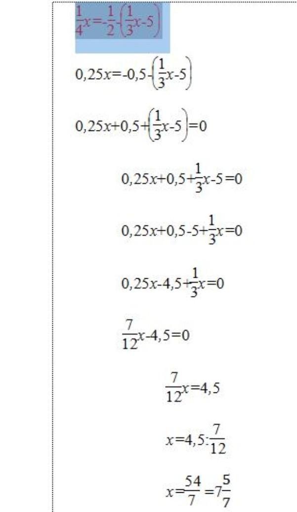
3. Найдите корень уравнения: 1/4х=-1/2-(1/3х-5)​

Ответы

Ответ дал: vovafil918732
0

Ответ:

Пожалуйста)))))) удачи

Приложения:
Ответ дал: Amigo3
0

Ответ: х/4=4,5-х/3 или 4,5=х/4+х/3=7*х/12 или 7*х=4,5*12=48+6=54 или х=54/7=7 5/7.

Объяснение:

Вас заинтересует