Ответы
Ответ дал:
1
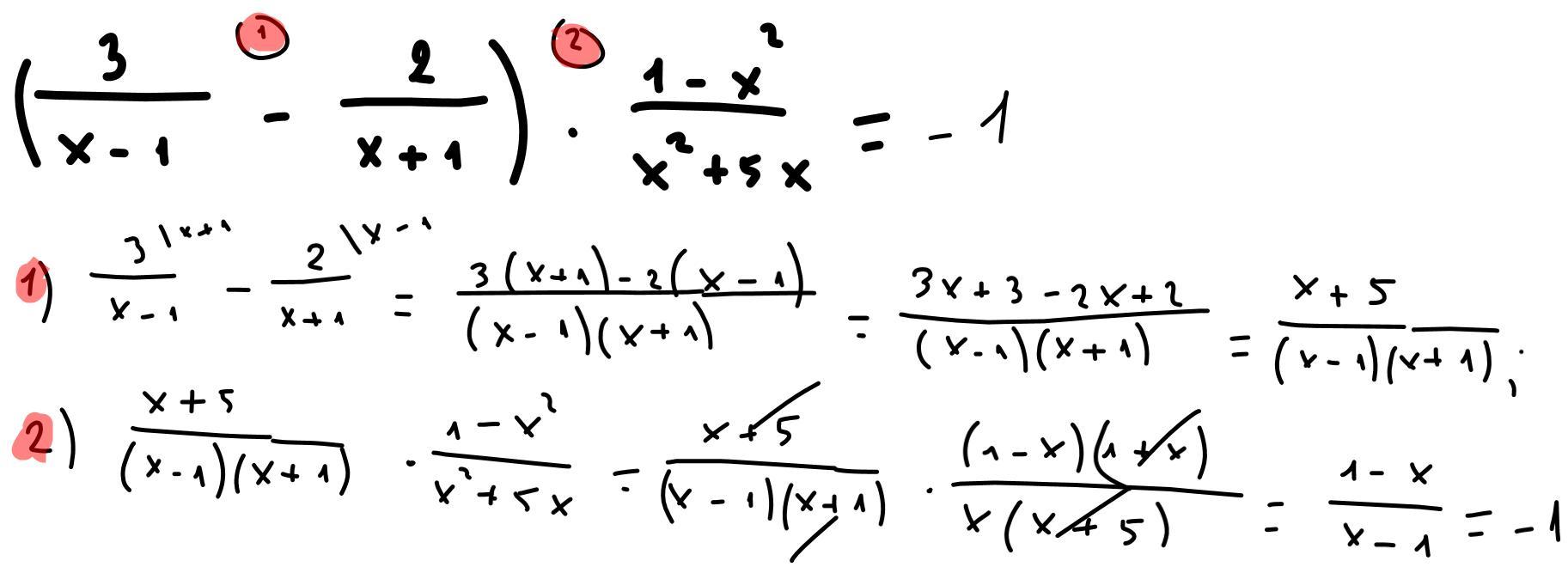
1. Приводим к общему знаменателю, раскрываем скобки и приводим подобные
2. Раскрываем формулу разности квадратов, а также выносим x из знаменателя - при умножении все сокращается, и получается -1
Приложения:

osage:
там в конце я еще x потеряла, так что ответ: -1*х, то есть -х
Ответ дал:
1
Вот решение,только там в начале «= - x⁵» если что
Приложения:

Вас заинтересует
2 года назад
2 года назад
2 года назад
7 лет назад
7 лет назад
9 лет назад
9 лет назад