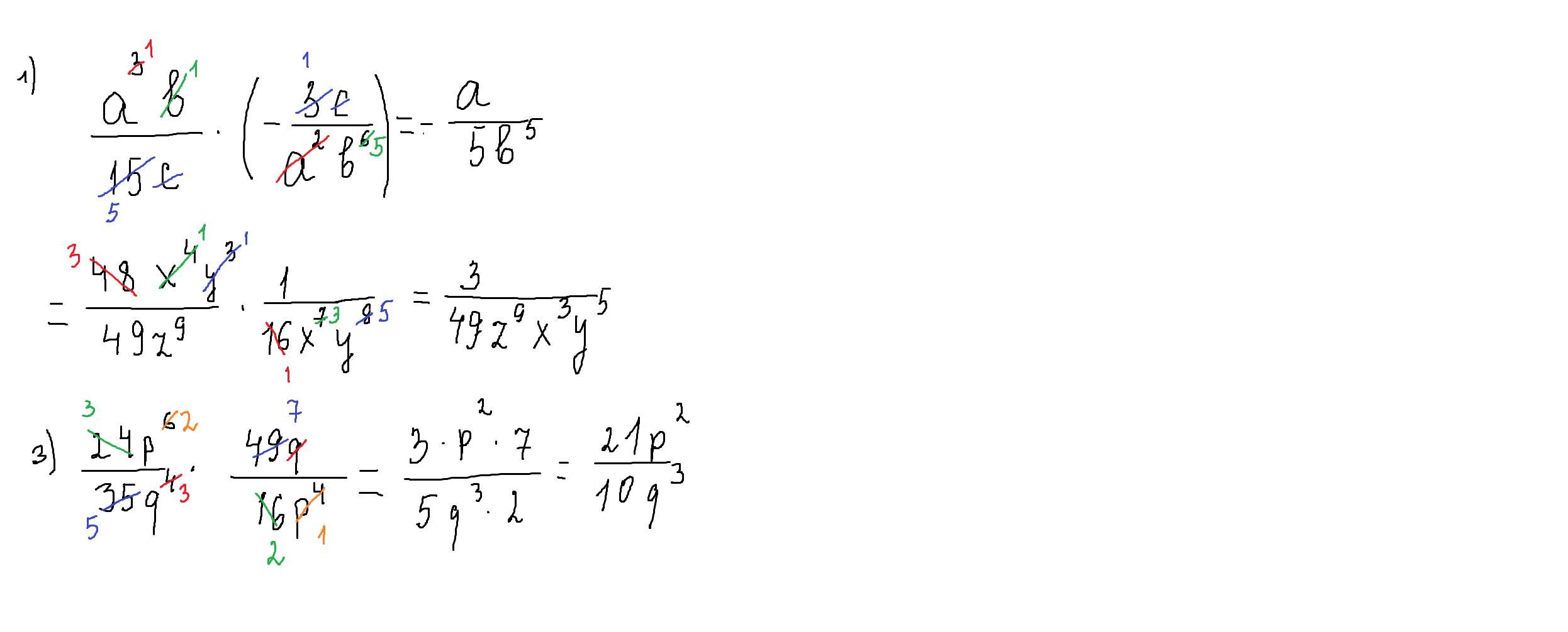
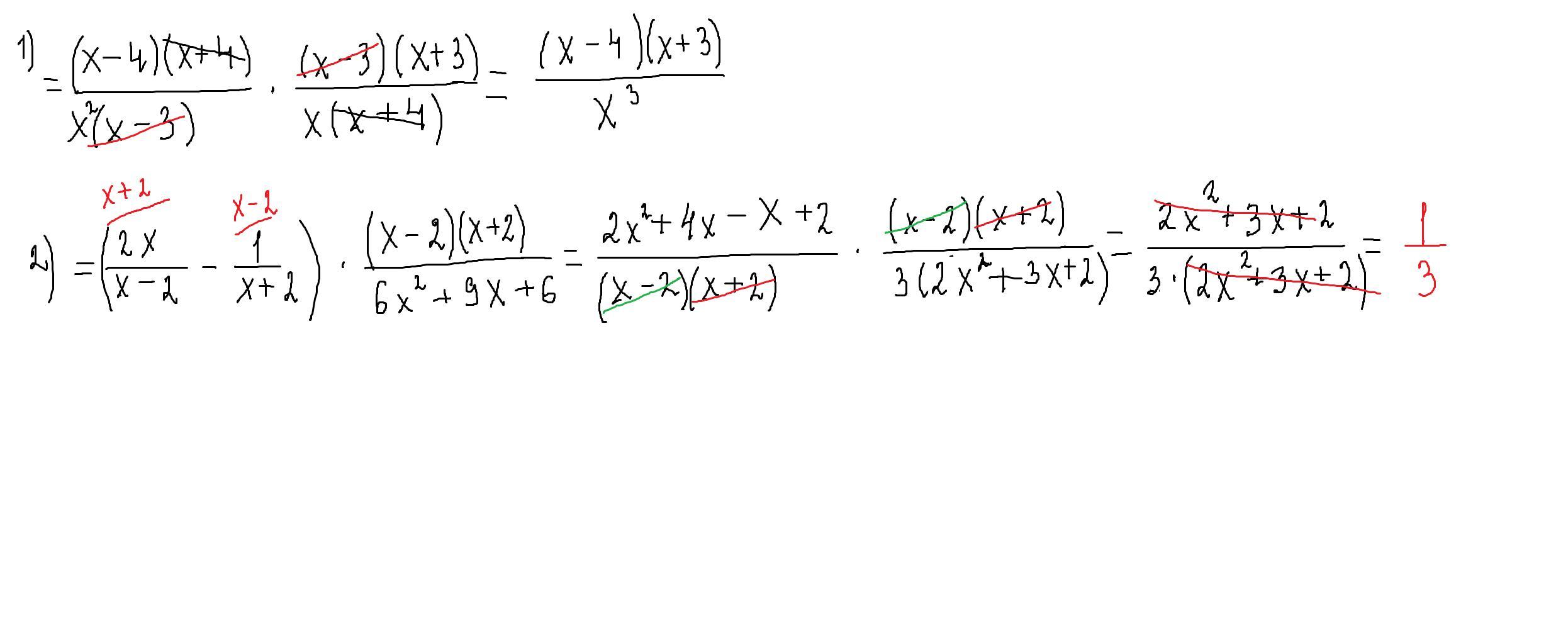
Решите данные на фото задания с подробным указанием действий
Ответьте на мой вопрос : можно ли сокращать буквы в скобках? Если знак другой
Приложения:

Ответы
Ответ дал:
1
Ответ:
Объяснение:на знак "-"внимание не обращай,только не забывай его записывать в ответе
сокращать можно только МНОЖИТЕЛИ,т.е когда стоит знак "*"(умножить)
во 2 задании применяем формулы сокращенного умножения
Приложения:


Вас заинтересует
2 года назад
2 года назад
2 года назад
7 лет назад
9 лет назад