• Предмет: Алгебра
  • Автор: linovo6653
  • Вопрос задан 3 года назад


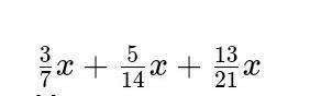
 \frac{3}{7}x +  \frac{5}{14}x +  \frac{13}{21}x
Упростите выражение ​

Ответы

Ответ дал: KRSchool
1

= 18/42x + 15/42x + 26/48x = 59/48x = 1 11/48x

Приложения:
Ответ дал: lidochka085
0

Ответ:

\frac{3}{7}x+\frac{5}{14}x+\frac{13}{21}x=\frac{6*3+5*3+13*2}{42}x=\frac{59}{42}x=1\frac{17}{42}x

Объяснение:

Вас заинтересует