Ответы
Ответ дал:
1
Ответ:
Объяснение:
wolfhound78:
Подробнее? хорошо
Ответ дал:
0
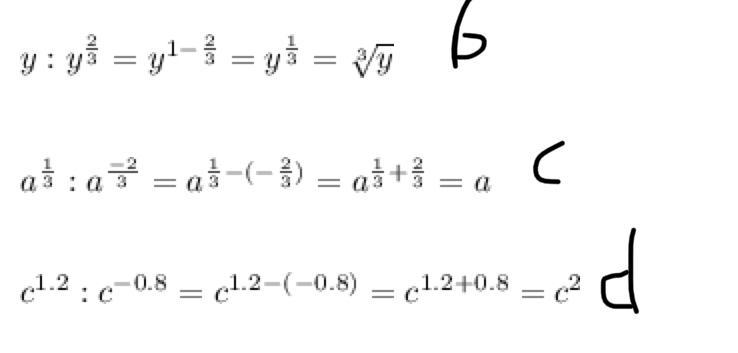
⠀ ⠀ ⠀ ⠀ ⠀ ⠀ ⠀ ⠀ ⠀ ⠀ ⠀ ⠀ ⠀ ⠀ ⠀ ⠀ ⠀ ⠀ ⠀ ⠀
Приложения:

Вас заинтересует
2 года назад
2 года назад
2 года назад
7 лет назад