Ответы
Ответ дал:
1
Ответ:
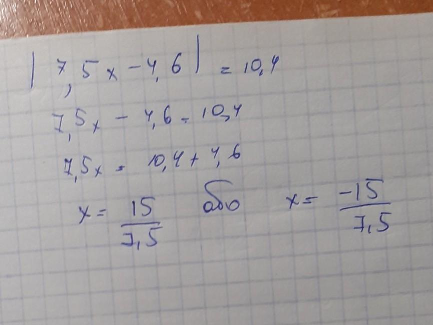
7,5х-4,6=10,4
7,5х=10,4+4,6
7,5х=15
х=15:7,5
х=2
Ответ дал:
1
Объяснение:
Первое фото не берите)
модуль - расстояние. Расстояние только +. но мы не знаем,какого знака будет ответ,поэтому пишем "або"
Приложения:


Вас заинтересует
2 года назад
2 года назад
2 года назад
7 лет назад
7 лет назад
9 лет назад