• Предмет: Математика
  • Автор: suomiblackberry666
  • Вопрос задан 3 года назад

помогите решить, пожалуйста

Приложения:

Ответы

Ответ дал: MatemaT123
0

Ответ:

5,08 ; 94,96 ;

Пошаговое объяснение:

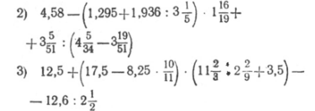
2) 4,58-(1,295+1,936*\frac{5}{16})*\frac{35}{19}+\frac{158}{51}:(\frac{141}{34}-\frac{172}{51})=4,58-(1,295+

+\frac{(1,6+0,32+0,016)*5}{16})*\frac{35}{19}+\frac{158}{51}:\frac{141*3-172*2}{102}=4,58-(1,295+\frac{8+1,6+0,08}{16})*

*\frac{35}{19}+\frac{158}{51}*\frac{102}{423-344}=4,58-(1,295+\frac{8}{16}+\frac{1,6}{16}+\frac{0,08}{16})*\frac{35}{19}+\frac{79*2*51*2}{51*79}=

=4,58-(1,295+0,5+0,1+0,005)*\frac{35}{19}+4=4,58+4-(1,3+0,6)*\frac{35}{19}=

=8,58-1,9*\frac{35}{19}=8,58-\frac{1,9*35}{19}=8,58-35*0,1=8,58-3,5=5,08;

3) 12,5+(17,5-\frac{(11-2,2-0,55)*10}{11})*(\frac{35}{3}*\frac{9}{20}+3,5)-12,6*\frac{2}{5}=12,5+

+(17,5-\frac{110-22-5,5}{11})*(\frac{5*7*3*3}{3*5*4}+3,5)-\frac{12,6*2}{5}=12,5+(17,5-(10-2-0,5))*

*(\frac{21}{4}+3,5)-\frac{25,2}{5}=12,5+(17,5-7,5)*(5,25+3,5)-5,04=12,5-5,04+

+10*8,75=7,46+87,5=94,96;

Вас заинтересует