• Предмет: Алгебра
  • Автор: maraban
  • Вопрос задан 3 года назад

Помогите пожалуйста

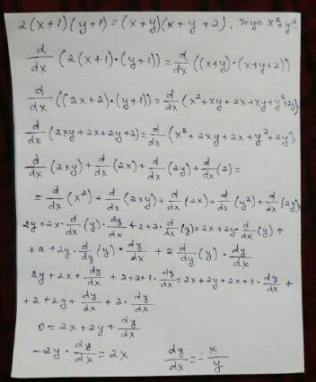
Приложения:

Ответы

Ответ дал: Birddi
1

Объяснение:

ответ:::::::::::::::x²+y²=2

Приложения:

maraban: Спасибоо
Ответ дал: sadmanajuldaseva
1

Ответ:

вот ответ думаю что правильно

Приложения:

maraban: Спасибо☺️
sadmanajuldaseva: незачто
Вас заинтересует