• Предмет: Алгебра
  • Автор: yryri
  • Вопрос задан 3 года назад

помогите, пожалуйста
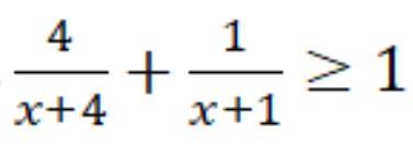
Решите неравенство 4/x+4+1/x+1≥1 используя метод интервалов

Приложения:

Ответы

Ответ дал: sergo00887
1
4(х-1) + х+4 >= 1
4х - 4 + х + 4 >= 1
5х >= 1
х >= 1/5
Х £ [ 1/5; плюс беск]

sergo00887: Перед плюс беск круглая скобка)
Вас заинтересует