Срочноооо)Помогите пожалуста, даю 60 БАЛОВ!!!!!!!
Приложения:

stark258:
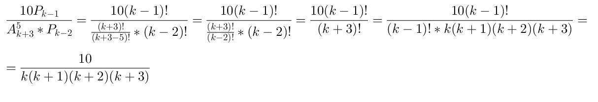
Упростите выражение, пользуясь формулами для вычисления числа размещений, перестановок или комбинаций
Ответы
Ответ дал:
1
Ответ:
Объяснение:
Приложения:

Ответ дал:
1
Вас заинтересует
2 года назад
2 года назад
7 лет назад
9 лет назад