Ответы
Ответ дал:
2
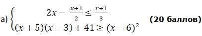
Здравствуйте. Решение на фото
Если не трудно, поставьте пожалуйста лайк и лучший ответ
Приложения:


Вас заинтересует
2 года назад
2 года назад
2 года назад
7 лет назад