• Предмет: Алгебра
  • Автор: whoktozachem
  • Вопрос задан 3 года назад

решите хоть что-то, молю. 8 класс алгебра

Приложения:

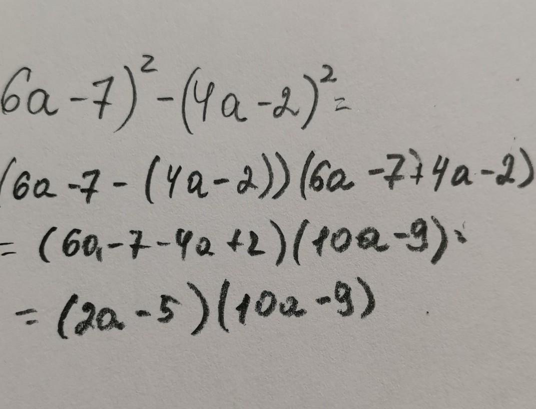
Simba2017: в 4 скобки раскрыть трудно?
Simba2017: 5) короче
Simba2017: (6a-7+4a-2)(6a-7-4a+2)=(10a-9)(2a-5)
Simba2017: по формуле разности квадратов

Ответы

Ответ дал: nelcan2017
0

Объяснение:

Вроде бы так)))))))))))

Приложения:
Ответ дал: oksik1970
0

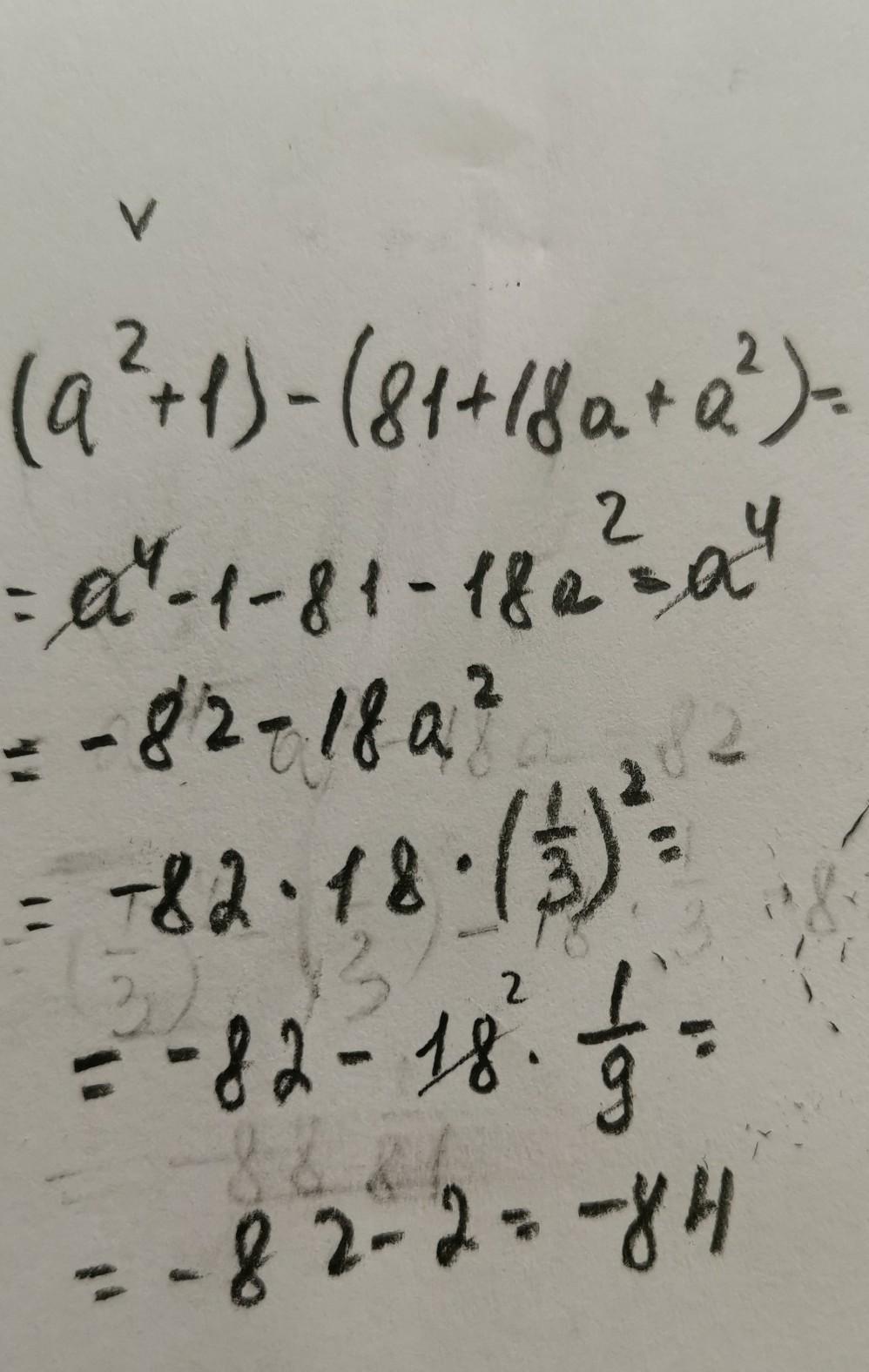
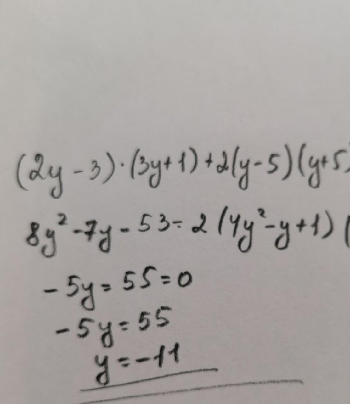
Ответ:

  • 4. у = -11
  • 5. (2а-5)(10а-9)
  • 6. -84

Объяснение:

все решения на фото. учи формулы сокращенного умножения.

Приложения:
Вас заинтересует