• Предмет: Математика
  • Автор: 01234darisggm
  • Вопрос задан 3 года назад

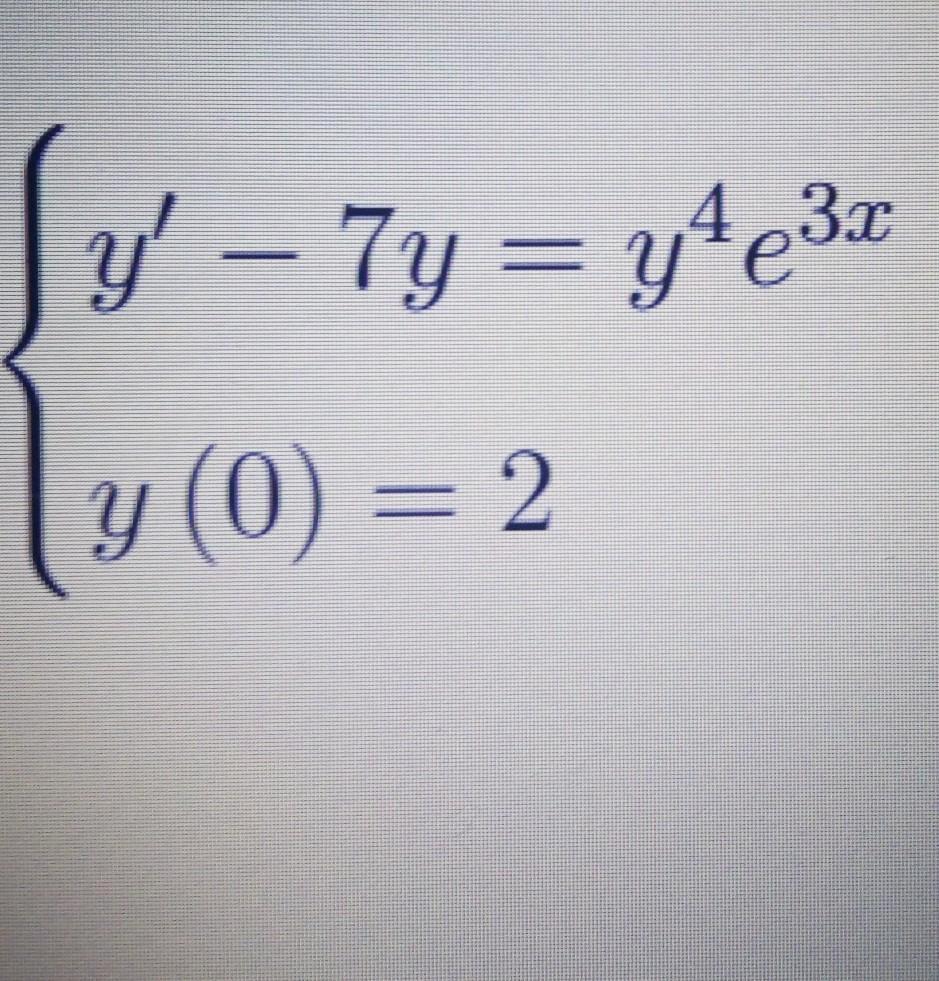
Решить задачу Коши

Срочно нужно ​

Приложения:

Ответы

Ответ дал: tanyamartunenko58329
0

решения не существует


01234darisggm: существует
Вас заинтересует