• Предмет: Алгебра
  • Автор: cdommi
  • Вопрос задан 3 года назад

памагите па алгибри срочна!!!!!!!!!!!!!!!!!!!

Приложения:

Ответы

Ответ дал: QDominus
0

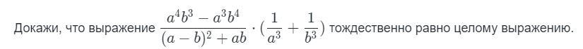
 \frac{ {a}^{4} {b}^{3}  -  {a}^{3}   {b}^{4} }{(a - b) {}^{2} + ab }  \times ( \frac{1}{ {a}^{3} } +  \frac{1}{ {b}^{3} }) =  \frac{ {a}^{3}  {b}^{3} (a - b)}{ {a}^{2}  - 2ab +  {b}^{2} + ab }  \times  \frac{ {a}^{3}  +  {b}^{3} }{ {a}^{3} {b}^{3}  }  =  \frac{ {a}^{3} {b}^{3}  (a - b)}{ {a}^{2} - ab +  {b}^{2}  }  \times  \frac{(a + b)( {a}^{2}  - ab +  {b}^{2} )}{ {a}^{3}  {b}^{3} } = (a + b)(a - b) =  {a}^{2}  -  {b}^{2}

Вас заинтересует