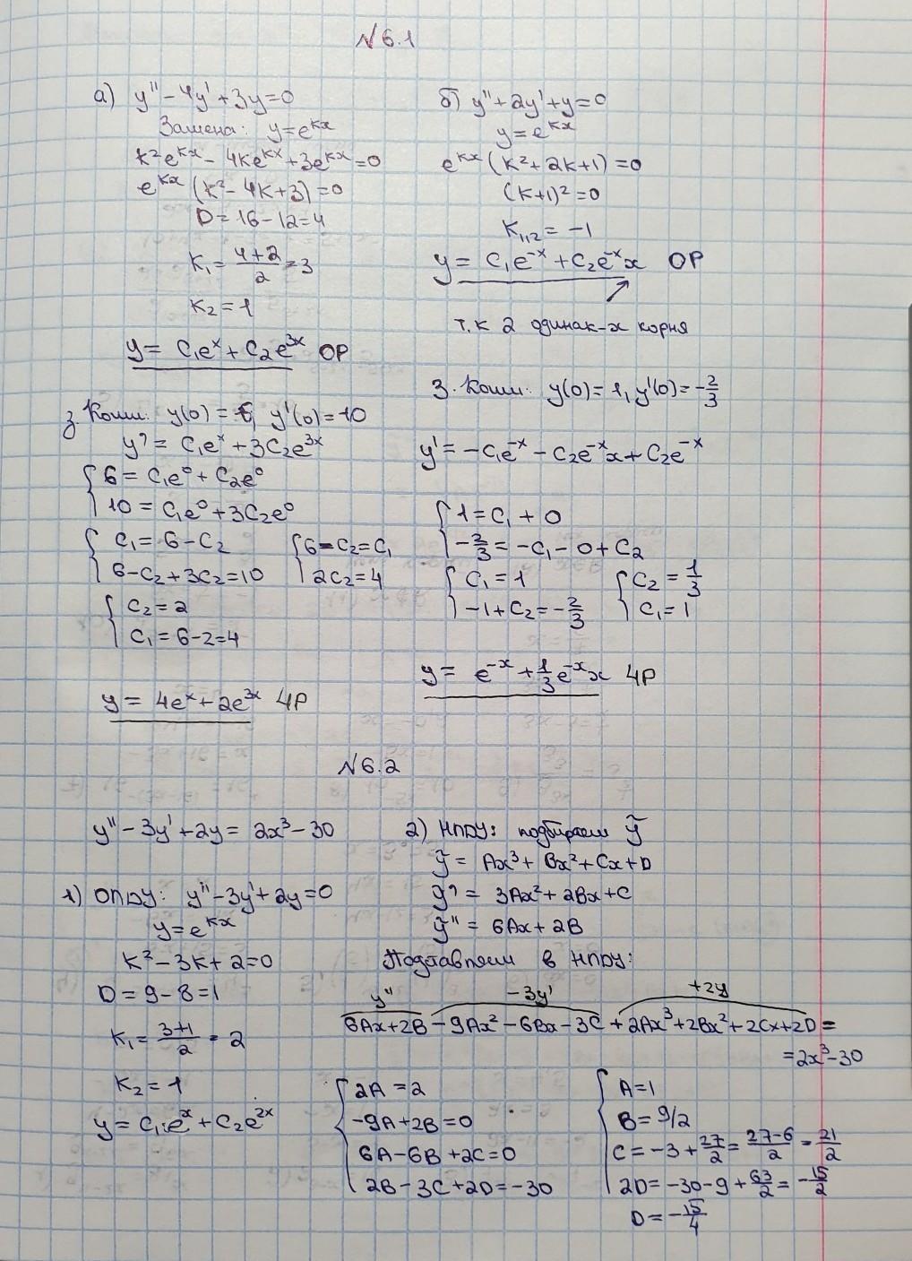
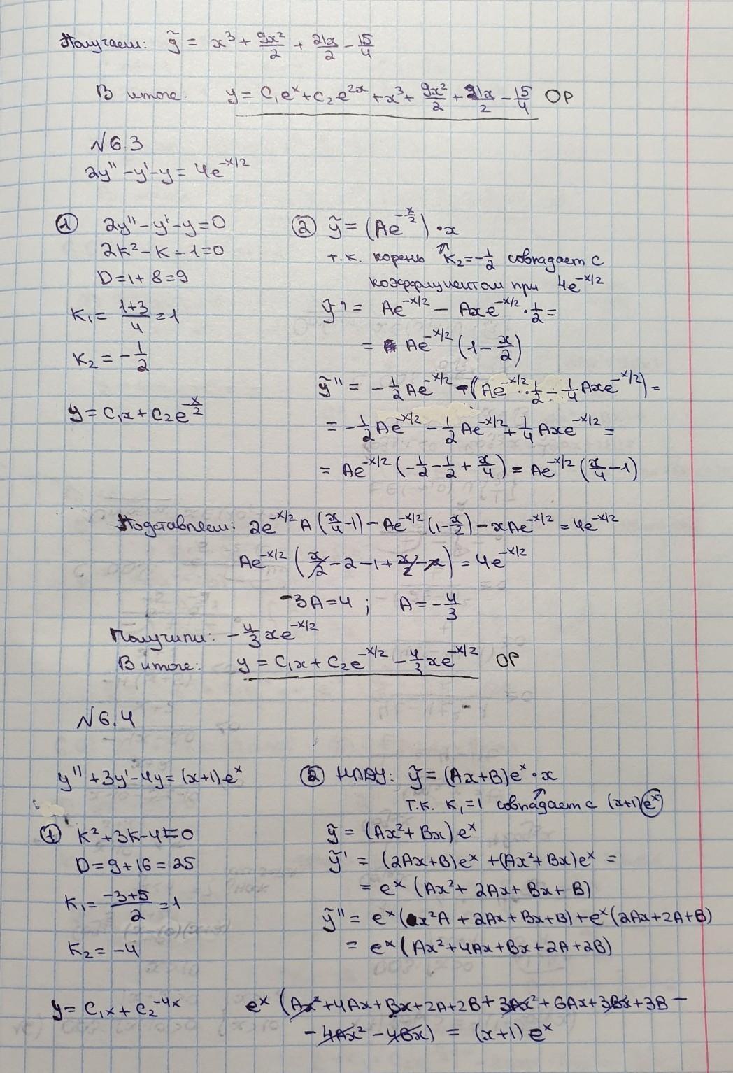
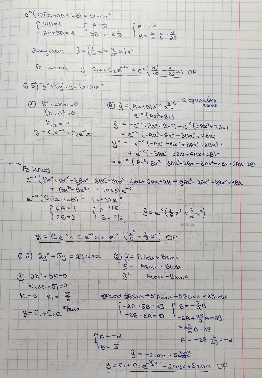
Линейные дифференциальные уравнения 2-го порядка. Помогите пожалуйста решить несколько примеров!!!
Приложения:

Ответы
Ответ дал:
0
Ответ:
решение на фотографиях
Последние 2 не влезли, можно только 5 фотографий
Приложения:





Вас заинтересует
2 года назад
2 года назад
2 года назад
7 лет назад
7 лет назад