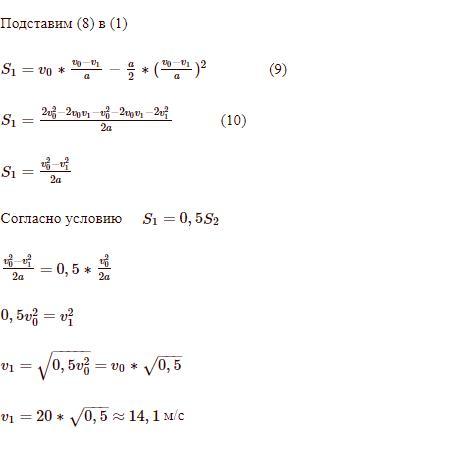
Автомобиль начал торможение при скорости 72 км/ч. Какова его скорость после прохождения половины тормозного пути?
С дано, решением. Спасибо)
Ответы
Ответ дал:
4
Вот держи, надеюсь помог тебе
Приложения:


Вас заинтересует
2 года назад
2 года назад
2 года назад
7 лет назад
9 лет назад