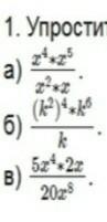
1. Упростить заданное выражение(на фото)
2. Решить задачу методом алгебраичпского моделирования: Сторону квадрата уменьшили в 3 раза, и площадь квадрата уменьшилась на 32 см². Чему равна начальная сторона квадрата.
Помогите очень надо
Приложения:

Ответы
Ответ дал:
1
Ответ:
а) х в 6 степени
б) к в 13 степени
в) 1/2х в кубе
Пошаговое объяснение:
я только упростила)
veronika0727:
Спасииибо♡
Вас заинтересует
2 года назад
2 года назад
7 лет назад
9 лет назад
9 лет назад