• Предмет: Алгебра
  • Автор: polinasaripo
  • Вопрос задан 3 года назад

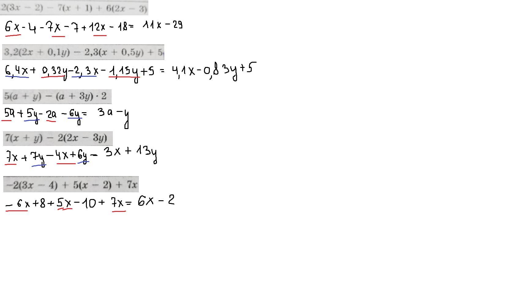
Преобразуйте выражения
Даю 40 баллов

Приложения:

Ответы

Ответ дал: katy770
1

Ответ:

Привет)

Решение во вложении, будут вопросы, задавай)

Если не сложно, отметь пожалуйста как лучший ответ))

Объяснение:

Приложения:

Аноним: Эммм......Это.......Другие ответы
katy770: всмысле?
Вас заинтересует