• Предмет: Алгебра
  • Автор: shadowcat5082
  • Вопрос задан 3 года назад

Помогите пожалуйста!

Приложения:

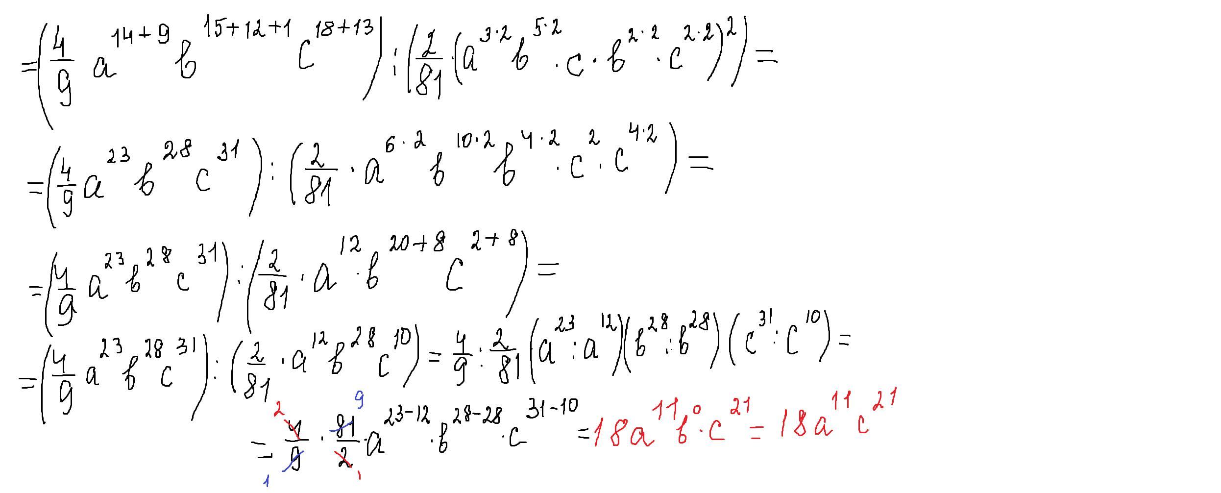
Ответы

Ответ дал: parus77
0

Ответ:

Объяснение:

ответ и решение внизу

Приложения:
Вас заинтересует