• Предмет: Алгебра
  • Автор: ajmuhanovislam
  • Вопрос задан 3 года назад

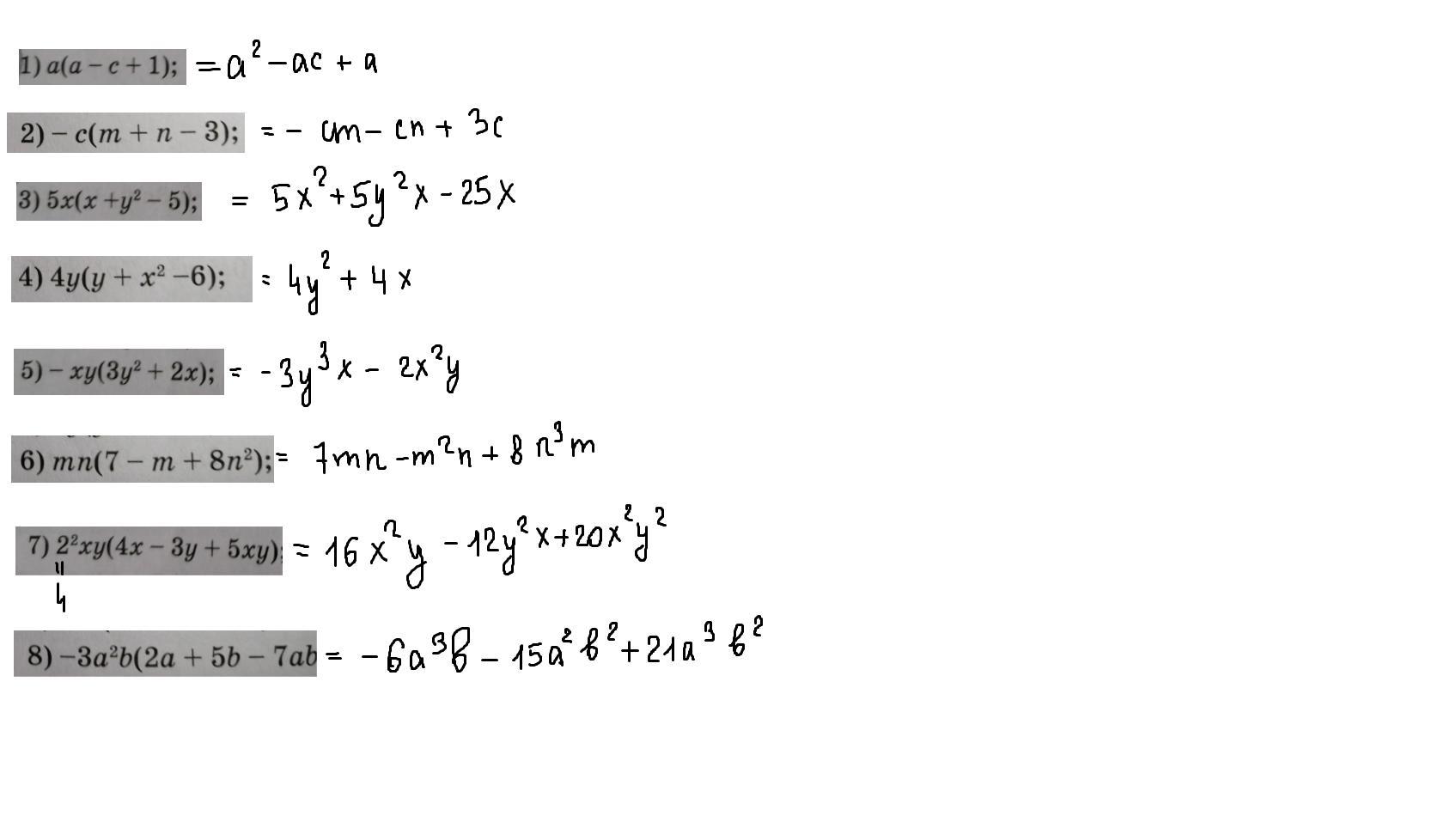
13.1 задание помогите пожалуйста даю 10 баллов!! ​

Приложения:

Ответы

Ответ дал: katy770
2

Ответ:

Привет)

Решение во вложении, будут вопросы, задавай)

Если не сложно, отметь пожалуйста как лучший ответ))

Объяснение:

Приложения:

ajmuhanovislam: спасибо
Вас заинтересует