• Предмет: Алгебра
  • Автор: chynaunique
  • Вопрос задан 3 года назад

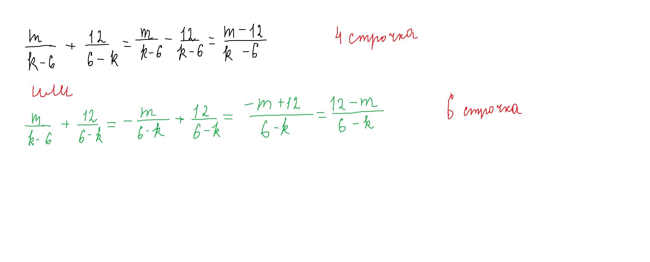
Упрости выражение m/k−6+12/6−k

Выбери правильные варианты ответа:

m+12/k−6
12−m/k−6
другой ответ
m−12/k−6
m+12/6−k
12−m/6−k

Ответы

Ответ дал: parus77
3

Ответ:

верные ответы в 4 и 6 строчках в зависимости от того,к какому знаменателю привели дробь

Объяснение:

Приложения:
Вас заинтересует