• Предмет: Алгебра
  • Автор: semenistomin27
  • Вопрос задан 3 года назад

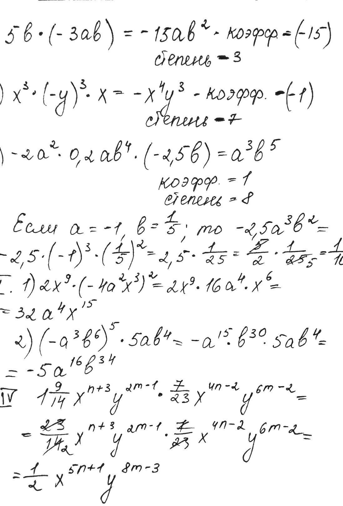
Решите пожалуйста 1,2,3 и 4 задание 50 баллов!!!!!!!!!!
С решением

Приложения:

Ответы

Ответ дал: NiNic356
0

Объяснение:

)))))))))))))))))))))

Приложения:
Вас заинтересует