• Предмет: Математика
  • Автор: RINArinaRinarin
  • Вопрос задан 3 года назад

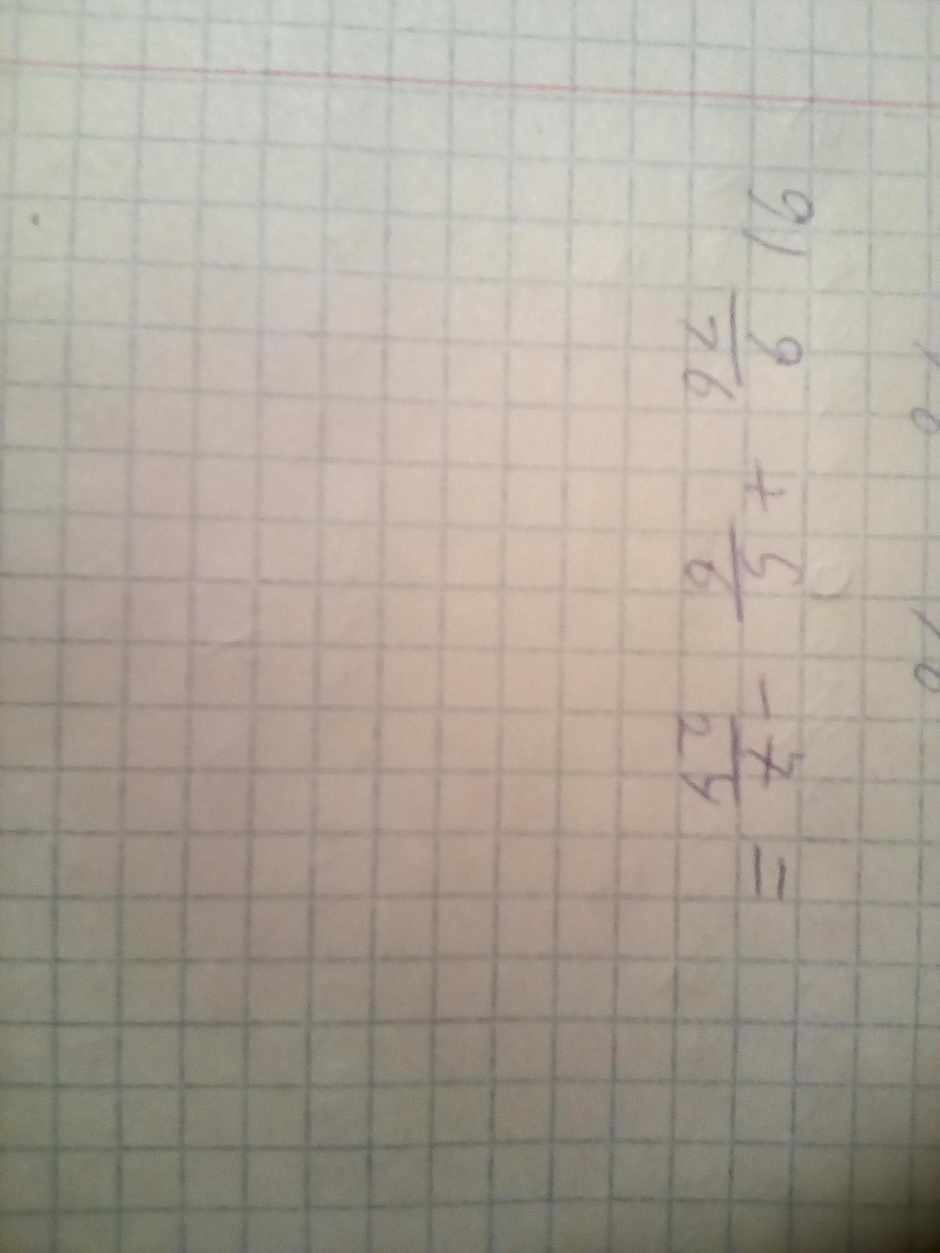
9/16 + 5/6 - 7/24 = ?

Приложения:

Ответы

Ответ дал: aigulfarkhatova
7

Ответ:

9/16+5/6-7/24=27+40-14/48=53/48

Ответ дал: shushkasmol
4

Ответ: 1целая 5/48

Пошаговое объяснение:

9/16 + 5/6 - 7/24 = 27/48 + 40/48 - 14/48 = 67/48 - 14/48 = 53/48 = 1целая 5/48

Вас заинтересует