2m^-6 * 0,5m^10
Напишите подробное решение, пожалуйста. Я понимаю, что делать со степенью, но что происходит с разными основаниями при умножении? Помогите....
Ответы
Ответ дал:
0
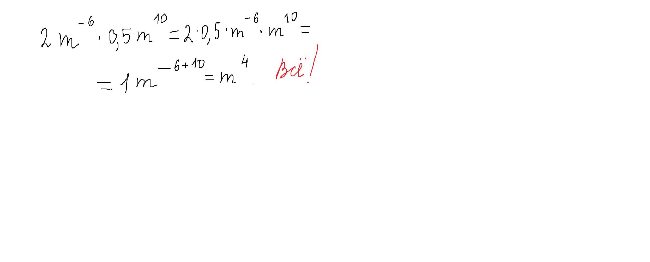
Ответ:
Объяснение:
решение внизу.где не понятно-спрашивайте.
Приложения:

Ответ дал:
0
Ответ: 2*0,5*m^(10-6)=m^4.
Объяснение:
Вас заинтересует
2 года назад
2 года назад
2 года назад
7 лет назад
7 лет назад