Ответы
Ответ дал:
0
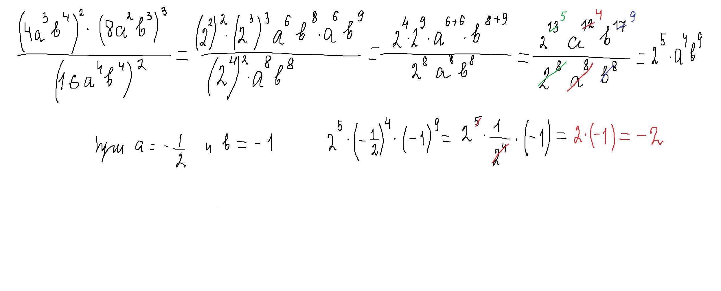
Ответ:
-2
Объяснение:
решение внизу
Приложения:

Аноним:
а мож отправить заново? там просто степеней не видно, пж
Вас заинтересует
2 года назад
2 года назад
2 года назад
2 года назад
7 лет назад
7 лет назад
9 лет назад