• Предмет: Математика
  • Автор: aleksandrhairov70
  • Вопрос задан 3 года назад

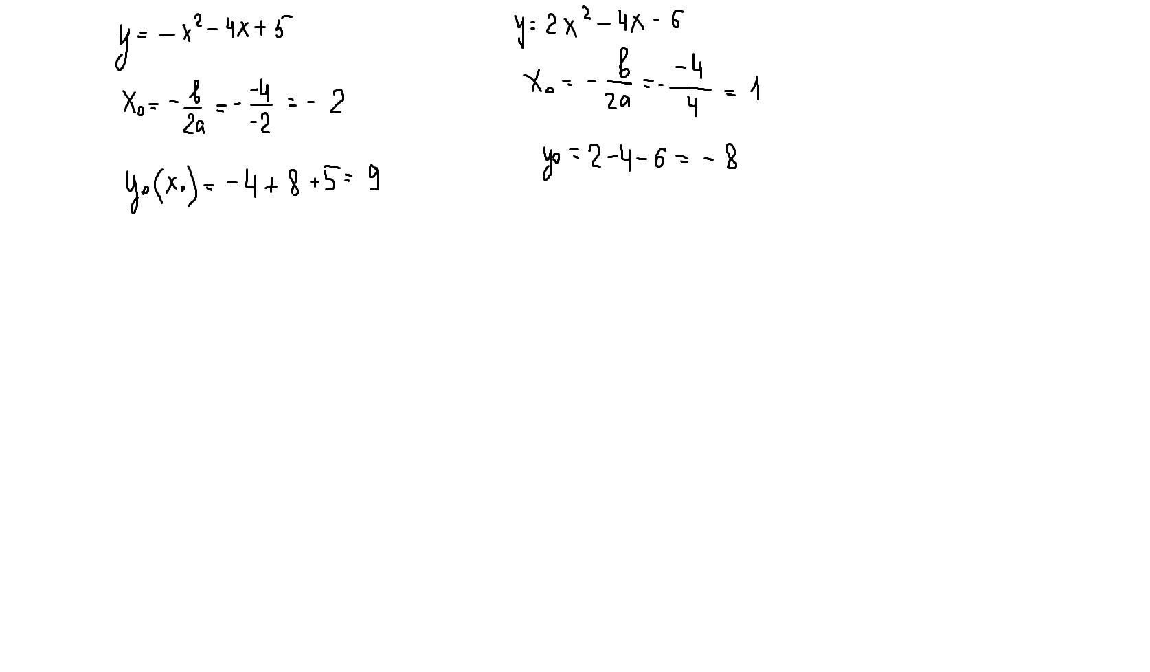
Найти координаты вершины параболы :y = − x2 − 4x + 5, y = 2x2 − 4x − 6

Ответы

Ответ дал: katy770
5

Ответ:

Привет)

Решение во вложении, будут вопросы, задавай)

Если не сложно, отметь пожалуйста как лучший ответ))

Пошаговое объяснение:

Приложения:
Вас заинтересует